티스토리 뷰
목차
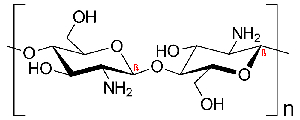
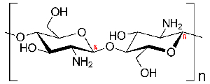
키토산은 D-글루코사민과 N-아세틸글루코사민으로 이루어진 선형 다당류로, 주로 새우, 게 등 갑각류 껍데기에서 추출됩니다. 키틴에서 탈아세틸화 과정을 거쳐 만들어지며, 주로 콜레스테롤 조절, 지혈작용, 항균 효과, 암세포 증식 억제 등 건강 기능성이 보고되어



있습니다. 식약처에서도 콜레스테롤 감소 및 혈관 질환 예방 효과를 인정했으며, 의료용 인공 피부나 지혈제로도 활용됩니다. 또한 경구 섭취 시 체내 과잉 콜레스테롤 흡착 및 배설을 돕는 역할을 합니다.
키토산의 주요 기능과 효능
키토산의 주요 기능과 효능은 다음과 같습니다:
- 콜레스테롤 감소: 몸속 과잉 콜레스테롤을 흡착해 배설함으로써 혈중 콜레스테롤 개선과 혈관 질환 예방에 도움을 줍니다. 식약처에서도 이 효능을 인정했습니다.
- 체지방 감소 보조: 장내에서 지방과 결합하여 지방의 흡수를 억제하고 배출을 돕는 역할을 하여 체중 조절에 도움을 줍니다.
- 면역력 강화 및 항암 작용: 면역세포를 활성화하고 비정상 세포에 작용하여 암세포 증식을 억제하는 효과가 있습니다.
- 지혈 작용: 혈구를 끌어모으고 지혈인자를 활성화해 출혈을 줄이는 지혈 효과를 가지고 있어 의료용 지혈제로 사용됩니다.
- 간 기능 개선 및 해독: 간 기능을 돕고 체내 중금속 및 오염물질 배출을 촉진하는 생체 조절 기능을 수행합니다.
- 항균 및 항산화 작용: 항균 효과가 있으며, 산화적 손상을 억제해 노화 방지와 조직의 섬유화 완화에 도움을 줍니다.
- 의료 및 화장품 용도: 인공 피부, 상처 치유, 보습 기능 등 다양한 의학 및 화장품 분야에서 활용됩니다.
이렇게 키토산은 건강기능식품부터 의료, 화장품 분야까지 다양한 효능을 인정받고 있습니다.
키토산과 키틴의 차이
키토산과 키틴의 차이는 다음과 같습니다:
- 키틴은 자연계에서 주로 갑각류(새우, 게 등)의 외골격과 곰팡이 세포벽의 주성분인 고분자 다당류로, 분자량이 크고 불용성이며 단단하고 질긴 성질을 가지고 있습니다. 키틴은 묽은 산에 녹지 않아 활용이 제한적입니다.
- 키토산은 키틴을 탈아세틸화(아세틸기가 제거되는 과정)하여 얻어지는 물질로, 글루코사민과 잔류 아세틸글루코사민 단위로 구성된 선형 고분자입니다. 키토산은 유리아민 기를 가지고 있어 묽은 산성 용액에 잘 용해되고, 생체 적합성, 항균성, 생분해성 등 다양한 특성을 지녀 의학, 식품, 화장품 등 여러 분야에 응용됩니다.
- 즉, 키틴은 원료 다당류이고, 키토산은 키틴에서 화학처리(탈아세틸화)를 거쳐 얻은 더 용해도 높고 활성 기능성 물질입니다.
- 키틴은 강력한 흡착능력과 면역 증진 효과가 있고, 항암 및 혈액응고 촉진에 도움을 줍니다. 키토산은 간 기능 개선, 체내 중금속 배출, 지혈작용, 체내 콜레스테롤 흡착 등 생체 조절 기능이 더 뛰어납니다.
요약하면, 키틴은 키토산의 원료이며, 키토산은 키틴을 화학적으로 변환한 물질로 활용도와 기능성이 확장된 형태입니다.
키토산 추출·제조 공정 설명
키토산 추출 및 제조 공정은 다음과 같은 단계로 이루어집니다:
- 원료 준비 및 전처리
- 주로 게, 새우 등 갑각류의 껍데기를 수집하여 미세하게 분쇄합니다.
- 분쇄된 갑각류를 희석한 수산화나트륨(NaOH) 용액에서 가열 및 교반하여 단백질을 제거하는 1차, 2차 전처리 단계를 거칩니다.
- 이후 묽은 염산(HCl) 용액에 침지시켜 칼슘과 무기물(주로 칼슘)을 제거하는 탈염 과정이 이루어집니다.
- 세척 후 pH를 중성으로 맞추고 자연 건조합니다.
- 키틴 제조
- 전처리 과정을 통해 단백질과 무기물이 제거된 후에 백색도 높고 점도가 좋은 키틴이 완성됩니다.
- 키토산 제조(탈아세틸화)
- 제조된 키틴을 고농도의 수산화칼륨(KOH) 용액에 담가 질소 가스를 주입하여 산소 유입을 차단한 상태에서 90~100℃로 3~12시간 가열 및 교반하는 1차 반응을 실시합니다.
- 반응 후 중간체를 여과하고, 같은 조건으로 2차 탈아세틸화 반응을 진행하여 아세틸기를 제거하고 키토산으로 변환시킵니다.
- 반응 후 여과 및 여러 차례 세척을 통해 불순물을 제거합니다.
- 자연광 상태에서 잔여 색소를 자외선으로 산화 및 분해시켜 제거하고, 최종적으로 건조하여 고순도, 고점도의 키토산을 얻습니다.
이 공정은 키토산의 분자량 감소를 억제하고 순도와 점도를 높이는 데 초점을 둡니다. 최근에는 친환경 생물공정 개발도 활발히 진행 중입니다.
의학·화장품에서의 활용 사례



의학과 화장품 분야에서 키토산의 활용 사례는 다음과 같습니다:
의학 분야
- 키토산은 생체적합성 및 생체친화성이 뛰어나 의료용 봉합실에 사용되며, 항균, 소독, 면역 기능, 상처 치유 촉진 작용이 있습니다. 분자량 조절을 통해 체내 분해 속도를 조절할 수 있어 체내 흡수 후 약용 효과도 기대할 수 있습니다.
- 화상 및 창상 치료제로도 활용되며, 키토산 아세테이트 염이 화상 부위의 피브린 덩어리 형성을 저지하여 치유를 돕습니다.
- 나노 키토산으로 약물 전달 체계를 개선하여 생체 이용률을 높이는 연구도 활발합니다.
- 저분자 수용성 키토산은 탈모 치료에 활용되며, 모발 성장 촉진, 항균·항염, 세포 재생 촉진 효과로 치료 효과를 극대화하는 데 사용됩니다.
화장품 분야
- 키토산은 피부 보습 및 항균 효과가 뛰어나며, 화장품의 보습, 탄력성 유지, 노폐물 제거에 효과적입니다.
- 고분자 수용성 키토산은 피부 세포 재생을 촉진하고 자극을 감소시키며, 영양 공급 및 피부 보호에 기여해 에멀전, 로션, 샴푸, 린스 등 다양한 화장품에 사용됩니다.
- 키토산은 모발 제품에도 첨가되어 모발의 감촉, 윤기, 빗질성 향상에 도움을 줍니다.
- 점도 개선, 유화, 방부제 역할도 수행하며, 화장품 제조에서 중요한 원료로 활용됩니다.
요약하면, 키토산은 우수한 생체적합성과 기능성으로 인해 의료용 재료에서부터 다양한 스킨케어, 헤어케어 제품까지 폭넓게 사용되고 있습니다.
키토산 섭취 시 부작용과 안전성 고려사항
키토산 섭취 시의 부작용과 안전성 고려사항은 다음과 같습니다:
- 일반적으로 키토산은 안전한 물질로 여겨지나, 일부에서는 위장관 불편감, 변비, 설사, 복부 팽만감 등의 부작용이 보고될 수 있습니다. 특히 과다 섭취 시 변이 딱딱해져서 배변에 어려움이 생길 수 있습니다.
- 키토산은 지방과 결합해 지방 흡수를 줄이지만, 동시에 지용성 비타민(A, D, E, K) 흡수를 방해할 수 있어 장기간 고용량 섭취는 영양 결핍 위험이 있으므로 주의가 필요합니다.
- 갑각류(새우, 게 등) 알레르기가 있는 사람은 키토산 섭취 시 알레르기 반응(가려움, 붓기 등)을 일으킬 수 있으므로 섭취 전 확인이 필요합니다.
- 혈액 응고에 영향을 줄 수 있으므로 항응고제를 복용하는 사람이나 수술 예정자는 키토산 섭취를 중단하거나 전문의 상담이 필요합니다.
- 고지혈증약(스타틴) 복용 시 키토산이 약효를 떨어뜨릴 수 있어 병용 사용에 주의해야 합니다.
- 권장 섭취량을 지키고, 특별한 질환이 있으면 전문가 상담 후 섭취하는 것이 안전합니다.
요약하면, 키토산은 대부분 안전하지만 위장 관련 부작용, 알레르기, 영양소 흡수 저해, 약물 상호작용 등을 고려해 적정량을 섭취하고 필요 시 의사의 상담을 권장합니다.