티스토리 뷰
목차
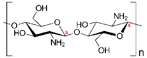
키토산이란?
키토산(Chitosan)은 D-글루코사민과 N-아세틸글루코사민으로 이루어진 선형 다당류로
주로 새우, 게 등 갑각류의 껍질에서 얻어집니다.
갑각류 껍질에 함유된 키틴을 수산화나트륨 등으로 처리해 탈아세틸화 과정을 거쳐 만들어집니다.
키토산은 동물성 식이섬유의 일종으로, 인체에 흡수가 용이하도록 가공된 물질입니다.



주요 효능
- 체중 감량 및 체지방 감소
키토산은 체내에서 지방과 결합해 흡수를 억제하고 배출을 촉진해 체지방 축적을 억제하는 데 도움을 줄 수 있습니다. - 꾸준히 섭취하면 과체중이나 비만 상태에서 체지방 감소에 이점이 있습니다.
- 콜레스테롤 수치 관리
키토산은 담즙산과 결합해 배설을 촉진함으로써 혈중 콜레스테롤 농도를 낮추는 데 도움을 줍니다. - 담즙산이 배설되면 새로운 담즙산 합성을 위해 체내 콜레스테롤이 사용되어 결과적으로 콜레스테롤 수치가 조절됩니다.
- 간 건강 및 해독
간의 해독 작용을 돕고, 간에 쌓인 중성지방을 배출해 지방간 예방에 도움을 줄 수 있습니다. - 또한 신체에 쌓인 독성 물질 배출에도 효과가 있습니다.
- 혈당 조절
키토산은 당화혈색소와 식후 혈당 상승을 억제하여 당뇨 관리에 도움을 줄 수 있습니다. - 관절 및 뼈 건강
관절과 뼈의 회복을 돕고, 노화로 인한 관절 손상 회복에도 긍정적인 영향을 미칠 수 있습니다. - 신장 건강
신장 기능 저하와 관련된 지표를 낮추는 데 도움을 줄 수 있어 신장 건강 관리에 유익할 수 있습니다. - 면역력 증진 및 항균 효과
키토산은 면역을 증진시키고, 항균 효과를 통해 신체 방어력을 높이는 데 기여할 수 있습니다. - 기타
상처 치유, 세포 회복, 근육 및 잇몸 건강, 피부 콜라겐 생성 등에도 도움이 된다는 연구 결과가 있습니다.
섭취 방법 및 권장량
- 하루 섭취 권장량: 1,000mg ~ 2,500mg
제품에 따라 다르며, 권장량을 초과하지 않는 것이 중요합니다. - 특징: 분말, 정제 등 다양한 형태로 섭취할 수 있으며, 저분자 키토산은 흡수가 더 빠릅니다.
부작용 및 주의사항
- 과다 섭취 시: 복통, 설사, 변비, 가스참, 더부룩함 등 소화기계 이상 증상이 나타날 수 있습니다.
- 지용성 비타민 결핍: 키토산이 지용성 영양소를 흡착해 배출할 수 있으므로,
- 장기간 과다 섭취 시 비타민 A, D, E, K 결핍 위험이 있습니다.
- 알레르기: 갑각류 알레르기가 있는 경우 알레르기 반응이 나타날 수 있으므로 섭취를 피해야 합니다.
- 임산부 및 혈액응고 장애 환자: 안전성이 명확히 입증되지 않았으므로 섭취를 권장하지 않습니다.
- 약물 상호작용: 드물게 혈액응고제 등과 상호작용할 수 있으므로 주의가 필요합니다.
결론
키토산은 갑각류 껍질 등에서 얻는 천연 다당류로, 체중 관리, 콜레스테롤 개선, 간 건강, 혈당 조절 등
다양한 건강 효과가 보고되고 있습니다.
하지만 과다 섭취 시 부작용이 있을 수 있고, 알레르기나 특정 질환이 있는 경우 주의가 필요합니다.
건강기능식품으로 섭취할 경우 권장량을 지키는 것이 중요합니다.



키토산이 체중 감량에 도움이 되는 원리
키토산은 주로 게, 새우 등 갑각류의 껍질에서 추출되는 천연 식이섬유로,
체중 감량에 다음과 같은 방식으로 도움을 줄 수 있습니다.
1. 지방 흡수 억제 및 배출 촉진
- 키토산은 장내에서 섭취한 지방과 결합해 불용성 화합물을 형성합니다.
- 이 화합물은 소화기관을 통과하면서 체내에 흡수되지 않고 대변으로 배출됩니다.
- 즉, 음식물에 포함된 지방이 체내로 흡수되는 것을 막아 체지방 축적을 억제하는 효과가 있습니다.
- 식사 직전에 키토산을 섭취하면, 위에서 음식물과 섞여 지방을 효과적으로 포집하고,
- 이 지방은 체내로 흡수되지 않고 그대로 배출됩니다.
2. 칼로리 흡수 제한
- 지방의 흡수가 제한되면, 결과적으로 섭취한 칼로리의 일부가 체내에 저장되지 않고 배설되어,
- 에너지 섭취량이 줄어드는 효과가 나타납니다.
3. 임상 연구 결과
- 실제 임상 연구에서도 키토산을 꾸준히 섭취한 참가자들이 체지방률이 감소하고,
- 체중 감량 효과를 경험한 사례가 보고되었습니다.
- 예를 들어, 키토산만 복용한 경우 8주간 평균 2.6kg의 체중이 감소한 연구 결과가 있습니다.
- 비타민C와 함께 복용할 경우 키토산의 지방 포집 효과가 증가해 체중 감량 효과가 약 1.5배 높아진다는 연구도 있습니다.
4. 기타 건강 효과
- 키토산은 콜레스테롤과도 결합해 배출을 촉진하므로, 혈중 콜레스테롤 수치 관리에도 도움을 줄 수 있습니다.
한계와 주의사항
- 키토산은 식이조절이나 운동 없이 단독으로 복용할 경우 체중 감량 효과가 제한적일 수 있습니다.
- 건강한 식습관과 꾸준한 운동을 병행할 때 더 큰 효과를 기대할 수 있습니다.
- 개인에 따라 효과 차이가 있을 수 있으며, 과다 섭취 시 소화 불량 등의 부작용이 나타날 수 있습니다.
요약
키토산은 장내에서 지방을 흡착해 흡수를 막고 배출을 촉진함으로써 체중 감량에 도움을 줄 수 있습니다.
꾸준한 섭취와 함께 건강한 생활습관을 병행하면 더욱 효과적인 체중 관리가 가능합니다



키토산 섭취 시 부작용
1. 소화기계 부작용
- 과다 섭취 시 복통, 설사, 변비, 복부 팽만, 가스참, 더부룩함 등 위장 장애가 나타날 수 있습니다.
- 일부에서는 구토, 두통, 트림, 속쓰림 등의 증상도 보고됩니다.
2. 영양소 흡수 저해
- 키토산은 지방뿐 아니라 지용성 비타민(A, D, E, K)과 필수 지방산의 흡수도 방해할 수 있어,
- 장기간 고용량 복용 시 비타민 결핍이나 지방산 부족 현상이 발생할 수 있습니다.
3. 알레르기 반응
- 게, 새우 등 갑각류에서 추출되므로, 갑각류 알레르기가 있는 경우
- 피부 발진, 가려움, 호흡곤란 등 알레르기 반응이 나타날 수 있습니다.
4. 기타 주의사항
- 저혈압이 있는 경우 혈압이 더 낮아질 수 있으니 주의가 필요합니다2.
- 항응고제, 혈압약 등 특정 약물과 상호작용할 수 있으므로 해당 약물을 복용 중이라면 전문가와 상담이 필요합니다.
- 임산부, 수유부, 만성질환자, 영유아는 안전성이 충분히 입증되지 않았으므로 섭취를 피하는 것이 좋습니다.
안전한 섭취량
- 일반적으로 권장되는 하루 섭취량
- 제품에 따라 함량이 다르므로, 반드시 제품 설명서의 권장량을 따르는 것이 안전합니다.
- 처음 복용하는 경우
- 하루 3~4캡슐(1g 내외)로 시작하여 일주일 정도 복용 후 점차 양을 늘리는 것이 좋습니다.
- 지용성 비타민(A, D, E, K) 등과 함께 복용 시
- 흡수 저해를 막기 위해 2~4시간 간격을 두고 섭취하는 것이 권장됩니다.
요약
- 키토산은 과다 섭취 시 소화기 장애, 영양소 결핍, 알레르기, 약물 상호작용 등 다양한 부작용이 나타날 수 있습니다.
- 일반적으로 하루 1~2g, 최대 3~4.5g까지가 안전한 섭취량으로 권장되며,
- 개인의 건강 상태와 복용 목적에 따라 조정해야 합니다.
- 갑각류 알레르기, 임산부, 수유부, 만성질환자, 약물 복용자는 섭취 전 전문가와 상담이 필요합니다.
- 제품별 권장량과 주의사항을 반드시 확인하고, 장기 복용 시 비타민 결핍 예방에도 신경 써야 합니다
갑각류 알레르기와 키토산의 관련성
키토산은 주로 게, 새우 등 갑각류의 껍질에서 추출되는 성분입니다.
이 때문에 갑각류 알레르기가 있는 사람은 키토산 섭취 시 알레르기 반응이 나타날 수 있습니다.
알레르기 반응의 원인
- 키토산은 갑각류의 외골격에서 얻어지므로,
- 원재료에 남아 있는 단백질 등 알레르기 유발 물질이 완전히 제거되지 않을 수 있습니다.
- 알레르기 체질인 경우 키토산을 섭취했을 때 두드러기, 가려움, 피부 발진, 호흡곤란 등
- 다양한 알레르기 증상이 나타날 수 있습니다.
- 실제로 식품의약품안전처와 전문가들은 갑각류(게, 새우 등) 알레르기가 있는 사람은
- 키토산이나 키토산 함유 제품 섭취를 피해야 한다고 권고합니다.
실제 사례 및 주의사항
- 키토산을 함유한 건강기능식품, 다이어트 식품, 의료기기(예: 상처 피복재) 등에서
- 갑각류 알레르기 환자에게 알레르기 반응이 보고된 바 있습니다.
- 식약처는 키토산 제품에 ‘갑각류 알레르기 주의’ 문구를 표시하도록 하고 있습니다.
- 알레르기 반응이 심한 경우 피부질환, 호흡곤란, 심지어 안구 염증 등 면역반응이 발생할 수 있으니,
- 갑각류 알레르기가 있다면 키토산 섭취나 사용을 반드시 피해야 합니다.
결론
갑각류 알레르기가 있는 사람은 키토산 섭취 시 알레르기 반응이 나타날 수 있으므로,
키토산 및 이를 함유한 제품을 피하는 것이 안전합니다.
제품 구매 전 반드시 성분표와 주의사항을 확인해야 하며, 알레르기 병력이 있다면 전문가와 상담 후 결정하는 것이 바람직합니다
키토산이 혈액순환에 미치는 영향
- 혈액 내 지방 및 콜레스테롤 개선
키토산은 소화관에서 지방과 콜레스테롤, 담즙산을 흡착해 체외로 배출시키는 성질이 있습니다. - 이로 인해 혈중 콜레스테롤과 중성지방 수치가 낮아지고,
- 동맥경화와 고혈압 등 혈관질환의 위험을 줄이는 데 도움을 줄 수 있습니다.
- 혈액의 청결과 항상성 유지
키토산은 음식물의 유해물질, 독성물질, 염분 등을 흡착해 배설함으로써 혈액 내 오염물질의 유입을 줄이고, - 혈액이 깨끗하게 유지되도록 돕습니다. 이는 혈액순환 개선과 성인병 예방에 긍정적인 영향을 미칠 수 있습니다.
- 혈압 조절
키토산은 소금(염소 이온)과 결합해 체외로 배출시키는 효과가 있어, 고혈압 예방 및 혈압 조절에도 도움이 될 수 있습니다.
키토산이 간 건강에 미치는 영향
- 간 기능 강화 및 지방간 예방
키토산은 소장에서 지방산의 흡수를 억제하고, 지방을 흡착해 배설시킵니다. - 이로 인해 간에 축적되는 지방이 줄어들어 지방간, 고지혈증 등 간 관련 질환의 예방과 개선에 도움이 될 수 있습니다.
- 담즙산 배설 촉진
키토산은 담즙산과 결합해 체외로 배출시키고, 배설된 만큼 새로운 담즙산 합성을 위해 체내 콜레스테롤이 소모됩니다. - 이 과정은 간의 콜레스테롤 부담을 줄이고, 간 건강을 유지하는 데 기여합니다.
- 간장 장애 예방
동물성 지방 과다 섭취, 알코올 남용 등으로 인한 간장 장애의 경우, - 키토산이 지방의 장내 흡수를 억제해 간에 부담을 덜어주는 효과가 있습니다.
요약
- 키토산은 혈액 내 지방과 콜레스테롤, 유해물질을 흡착·배설해 혈액을 깨끗하게 하고
- 혈액순환을 개선하는 데 도움을 줄 수 있습니다.
- 담즙산 배설 촉진 및 지방 흡수 억제를 통해 간에 축적되는 지방을 줄이고,
- 간 기능 강화와 지방간 예방에도 긍정적인 영향을 미칩니다.
- 이러한 효과는 꾸준한 섭취와 함께 건강한 식습관, 생활습관 개선이 병행될 때 더욱 뚜렷하게 나타날 수 있습니다.



임산부가 키토산을 섭취하는 것이 안전한지 알고 싶어요
임산부가 키토산을 섭취하는 것은 일반적으로 권장되지 않습니다.
현재 국내외 공식 건강정보와 임산부 영양 가이드에서는 엽산, 철분, 칼슘, 비타민 D, 오메가3, 유산균 등
임신 중 꼭 필요한 영양소에 대해 명확히 안내하고 있으나,
키토산은 임산부에게 필요한 필수 영양소로 포함되어 있지 않습니다.
키토산은 갑각류 껍질에서 추출되는 식이섬유로, 체중 감량이나 콜레스테롤 개선 등 일반 성인에게 건강기능식품으로 사용되지만, 임산부의 경우 다음과 같은 이유로 주의가 필요합니다.
- 안전성에 대한 근거 부족:
- 임산부를 대상으로 한 키토산의 안전성 연구가 충분하지 않아 태아나 임산부에게 미치는 영향이 명확히 밝혀지지 않았습니다.
- 영양소 흡수 저해 위험:
- 키토산은 지방과 지용성 비타민(A, D, E, K) 등의 흡수를 방해할 수 있습니다.
- 임신 중에는 태아와 산모 모두에게 충분한 영양소 공급이 매우 중요하므로, 이러한 흡수 저해는 바람직하지 않습니다.
- 알레르기 위험:
- 키토산은 갑각류 알레르기 반응을 일으킬 수 있으므로, 알레르기 병력이 있는 임산부는 특히 주의해야 합니다.
따라서 임신 중에는 키토산을 비롯한 다이어트 목적의 건강기능식품, 검증되지 않은 보충제 섭취를 피하고, 균형 잡힌 식단과 필수 영양소(엽산, 철분, 칼슘 등) 위주로 건강을 관리하는 것이 안전합니다
.
만약 키토산이나 기타 건강기능식품 섭취를 고려한다면 반드시 산부인과 전문의와 상담 후 결정하는 것이 바람직합니다.