티스토리 뷰
목차



대부분의 시판 비타민 C 보충제는 '합성 아스코르브산'으로, 천연원료에서 일부분을 추출해 합성 아스코르브산과 혼합하거나, 순수 합성 아스코르브산을 사용하는 경우가 많습니다. 천연비타민 C 제제는 아세로라, 레몬 등에서 추출할 수 있지만, 실제 추출과정에서도 화학적 공정이 들어가고, 함량도 낮아 경제성과 효율성에서 불리합니다. 그래서 일반적으로 '천연원료(아세로라 추출분말 등) + 합성 비타민C' 형태로 성분 및 함량 표시를 하며, 100% 천연비타민만 들어있는 고함량 제품은 거의 없습니다.
실제 과일이나 채소로부터 음식 형태로 섭취하는 것이 '진정한 의미의 천연비타민 C'라 할 수 있습니다. 건강기능식품에서 '천연비타민 C'라고 표시된 대부분의 제품도 실제로는 성분에 합성 아스코르브산이 함유되어 있으니, 비타민 C의 유형, 표기방식(예: '천연원료+합성'), 함량, 부원료 정보 등을 꼼꼼히 확인하는 것이 중요합니다.
정리하자면,
- 진정한 천연비타민 C: 과일(오렌지, 아세로라, 레몬 등)과 채소를 식품으로 섭취하는 경우
- 시판 천연비타민 C: 대부분 합성 아스코르브산에 일부 '천연 원료'를 부원료로 사용
- 천연비타민 C가 함유된 영양제 제품: 실제 함유량은 낮으며, 고가이자 대체로 크기가 커 복용이 불편할 수 있음
- 효과 차이 논란: 합성과 천연 비타민 C 사이에 생체이용률 등 뚜렷한 효능 차이는 없다는 연구가 많음
- 위장이 예민하다면 중성 비타민 C(칼슘과 결합된 형태) 선택 추천
실질적인 건강을 위해서는 균형잡힌 식습관과 꾸준한 과일, 채소 섭취가 가장 권장된다는 점을 참고하면 좋겠습니다.
천연비타민 C와 합성 비타민 C의 주요 차이점은 무엇인가요



천연비타민 C와 합성 비타민 C의 주요 차이점은 다음과 같습니다.
1. 원료 및 제조 방식
- 천연비타민 C: 오렌지, 아세로라, 딸기 등 과일이나 채소에서 자연적으로 얻어집니다. 이때 플라보노이드, 미량 영양소 등 다양한 식물 영양소와 함께 함유되어 있습니다.
- 합성 비타민 C: 주로 옥수수 등의 식물에서 포도당을 추출해 화학적으로 합성한 아스코르브산만을 분리·정제한 형태입니다. 대량 제조되고, 저렴하게 공급됩니다.
2. 성분 및 화학 구조
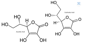
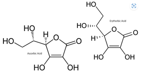
- 두 비타민 C 모두 기본 성분(아스코르브산, Ascorbic Acid)의 화학 구조는 완전히 동일해, 인체 내에서 분자적으로 같은 역할을 합니다.
- 합성 비타민 C는 주로 순수 아스코르브산 한 종류만을 포함하며, 천연 식품에 들어있는 부가적인 식물 영양소(플라보노이드 등)는 포함되어 있지 않은 경우가 많습니다.
3. 흡수율과 효능
- 효능 및 흡수율 차이 없음: 전문가 및 학계 의견에 따르면, 섭취량이 동일한 경우 천연·합성 모두 생리적 효과, 흡수율 면에서 차이가 없다고 알려져 있습니다.
- 제조·판매사는 천연비타민이 체내 흡수가 더 잘 된다고 주장하지만, 이에 대한 근거는 부족하며 학계에서 효능 차이가 인정되지 않습니다.
4. 함량과 경제성
- 합성 비타민 C는 고함량(한 알에 1,000mg 등)제품을 만들기 쉽고 가격이 저렴합니다.
- 천연 비타민 C는 식품 추출 방식 특성상 함량이 낮고, 많은 양을 먹어야 같은 효과를 얻기 때문에 가격이 비쌉니다. 천연원료만으로 고함량을 맞추기 어려워 일부 제품에 합성비타민을 혼합하는 경우가 많습니다.
5. 기타 고려사항
- 식품 형태의 천연비타민 C는 다양한 식물성 영양소(플라보노이드 등)와 함께 섭취되어 항산화 등의 추가 효능이 기대될 수 있지만, 과학적으로 명확히 증명된 바는 없습니다.
- 합성 비타민 C는 빠르고 직접적인 영양 보충에 효과적이나, 특별한 부작용이나 건강 위험성도 제기된 바 없습니다.
결론
두 종류 모두 비타민 C(아스코르브산)로서 인체 내 작용은 동일하지만, 식품의 영양 다양성이나 부가 성분을 추구한다면 천연식품이 권장됩니다. 실제로 영양제의 형태에서는 가격 및 편의성, 흡수율, 효능 면에서 큰 차이가 없기 때문에 균형 잡힌 식단으로 섭취하는 것이 베스트라는 것이 전문가들의 공통 의견입니다.
| 생산 방식 | 식품에서 직접 추출 | 옥수수 등에서 정제·합성 |
| 화학 구조 | 아스코르브산 | 아스코르브산 |
| 부가성분 | 식물 영양소(플라보노이드 등) 포함 | 대부분 순수 아스코르브산 |
| 가격/함량 | 비싸고 함량 낮음 | 저렴하고 고함량 |
| 흡수·효능 | 차이 없음 | 차이 없음 |
천연비타민의 부가적인 식물 영양소 효과를 원한다면 과일 및 채소 섭취가 가장 좋고, 보충제를 선택할 땐 함량과 편의성을 따져 구매하면 됩니다.
국내에서 ‘천연 비타민’이라고 표시하려면 어떤 조건이 필요한가요



국내에서 '천연 비타민'이라고 표시하려면 매우 엄격한 조건을 따라야 하며, 실제로 '천연 비타민'이라는 표현 자체는 거의 사용이 불가합니다. 관련 주요 기준은 다음과 같습니다.
1. 제품 전체에 '천연' 표시 불가
- 현행법상 '천연 비타민' 또는 '천연 건강기능식품'이라는 표현은 부적절하며, 사용이 금지되어 있습니다. 이는 식품의약품안전처(식약처) '부당한 표시 또는 광고의 내용 기준' 규정에 따라, 소비자가 제품 전체가 천연이라고 오해할 수 있기 때문입니다.
- **'천연원료 비타민'**처럼, 원료가 천연임을 강조한 정도만 일부 허용됩니다. 이 경우에도 실제 원료가 과일, 채소 등 자연 추출물이어야 하며, 제품 전성분 전체에 합성 원료가 없어야 하는 것은 아닙니다.
2. 세부 표시 조건 및 용어
- 식약처는 '천연'이라는 용어의 사용을 엄격히 제한하고 있으며, '천연유래 비타민' 보다는 **'과일·채소 유래 비타민'**과 같이 원료의 출처를 명확하게 표기하도록 지도합니다.
- **최소한의 물리적 공정(절단, 세척, 냉동, 건조 등)**만 거친 원료만 '천연'로 표기할 수 있습니다. 발효, 추출, 가열, 화학적 처리가 들어가면 '천연'이라는 표시에 해당하지 않습니다.
3. 합성원료 포함 시 '천연' 표기 금지
- 제품에 합성비타민 등 합성 성분이 들어가 있다면, 천연 표기 불가입니다. 다만, 공정상 필수적으로 소량의 합성성분(예: 셀룰로오스 등)이 첨가된 경우, 전체 주성분이 천연이라면 예외적으로 '천연 원료' 표기를 허용하기도 합니다.
4. 소비자 보호 및 강도 높은 관리
- 광고나 라벨 표시에서 '천연'이라는 표현을 사용할 땐, 오해 소지가 없도록 반드시 검증된 원료와 가공 공정이 사용되었는지, 그리고 모든 원료 정보가 투명하게 공개되어야 합니다.
정리하면, 국내 건강기능식품 또는 비타민 제품에 '천연'이라는 단어를 전면적으로 표시하는 것은 원칙적으로 금지되어 있습니다. 원료의 출처(과일, 채소 등 자연 유래)를 정확히 적고, 가공 공정도 화학적 변화가 없는 최소화된 물리적 방법만 허용될 때만 '천연'이라는 표현을 부분적으로 사용할 수 있습니다.
천연 비타민 C에는 어떤 자연 추출 성분이 포함되나요
천연 비타민 C에는 다음과 같은 자연 추출 성분들이 포함됩니다.
대표적인 천연 추출 원료
- 감귤류 과일(오렌지, 레몬, 자몽, 라임 등)
- 아세로라 체리: 비타민 C 함량이 매우 높아 건강기능식품 원료로 많이 사용됨
- 카카두 플럼: 세계에서 비타민 C 함량이 가장 높은 과일로 알려짐
- 딸기, 파프리카, 브로콜리, 사과, 감자, 고추 등 다양한 과일·채소류
천연 비타민 C 속 주요 부가 성분
- 플라보노이드: 주로 감귤류 과일(감귤, 레몬 등)에서 추출하며, 항산화 효과를 돕는 식물성 생리활성물질. 비타민 C의 흡수 및 효과를 보완함.
- 미네랄(미량원소): 천연 원료에서 추출된 비타민 C에는 자연적인 미네랄(칼륨, 마그네슘 등)이 포함되어 있을 수 있음.
- 파이토케미컬(식물 영양소): 폴리페놀, 탄닌 등 항산화 및 면역력 증진에 관여하는 다양한 성분이 식품에서 자연적으로 함유됨.
자연 추출 형태의 표시 예시
- 제품 원료명에 '아세로라 추출물', '감귤 추출물', '레몬 분말', '브로콜리 추출물' 등 표시된 경우, 해당 원료에서 자연적으로 추출한 비타민 C 및 부가 성분이 포함되어 있음을 뜻합니다.
즉, 천연비타민 C에는 단순히 '아스코르브산'뿐 아니라, 원재료 과일이나 채소에 포함된 플라보노이드, 파이토케미컬, 미네랄 등 다양한 자연 유래 성분이 복합적으로 들어간다는 점이 가장 큰 특징입니다. 이 성분들이 항산화, 면역력 증진 등 부가 효능을 제공할 수 있습니다.
천연과 합성 비타민 C의 효능 차이가 있나요



천연 비타민 C와 합성 비타민 C는 효능 면에서 특별한 차이가 없다는 것이 대다수 전문가들과 연구의 결론입니다. 두 성분 모두 기본적으로 '아스코르브산'이라는 동일한 화학 구조를 갖고 있어, 인체에서의 기능과 효과가 거의 동일하게 나타납니다.
- 흡수율 및 생체이용률
- 대부분의 연구·의학계는 "같은 용량을 섭취할 경우 천연과 합성 비타민 C의 흡수율, 항산화 효과 등 큰 차이가 없다"고 밝힙니다.
- 천연 비타민 C의 경우, 플라보노이드 등 부가 성분이 함께 포함되어 있다는 점이 있지만, 이로 인한 확실한 효능 향상은 과학적으로 증명된 바 없습니다.
- 일부 논문에서는 천연 비타민 C의 혈중 흡수율이 합성과 비교하여 약간 높을 수 있다는 결과도 있으나, 임상적으로 유의미한 차이는 없다는 평가가 많습니다.
- 소화 및 함량
- 천연 비타민 C 제제는 한 알 내 실제 비타민 C 함량이 낮고, 복용 편의성이나 가격 면에서 불리합니다.
- 합성 비타민 C는 고함량, 저렴, 복용 편의성 면에서 유리하고, 건강에 별다른 부작용 차이는 없습니다.
- 식품 형태 섭취 권장
- 건강 전문가들은 "최적의 건강을 위해서는 과일·채소 등 자연 식품에서 비타민 C를 섭취하는 것이 가장 좋다"고 강조합니다.
- 영양제 형태의 천연·합성 구분은 큰 의미가 없으며, 균형 잡힌 식습관이 효과적입니다.
정리하자면:
표준적 의학적 견해에 따르면 ‘합성과 천연 비타민 C는 분자구조·섭취 효과 면에서 차이 없다’고 여겨지며, 특별한 흡수율이나 효능 차이를 기대하지 않아도 됩니다. 실질적 건강 효과는 식품에서 도입할 때가 가장 큽니다.
천연 비타민 C를 선택할 때 고려해야 할 가장 중요한 기준은 무엇인가요
천연 비타민 C를 선택할 때 고려해야 할 가장 중요한 기준은 다음과 같습니다.
1. 원료의 출처 및 함량
- 천연 원료 비타민 C인지 확인: 아세로라, 카카두 플럼, 감귤류 과일 등에서 추출한 것인지 명확해야 합니다.
- 실제 비타민 C 함량 표기 확인: 천연 제품은 함량이 낮을 수 있으므로, 일일 권장섭취량에 맞는 함량인지 꼼꼼히 살펴야 합니다.
2. 부가 성분 포함 여부
- 플라보노이드, 식물성 항산화제 등 천연 유래 부가 성분이 포함되어 있으면 추가적인 건강 효과가 있을 수 있습니다.
- 부가 성분이 무엇인지, 함량은 어느 정도인지를 확인하는 것이 중요합니다.
3. 가공 및 제조 방법
- 최소한의 물리적 공정(냉동 건조, 분말화 등)만 거쳐 천연성을 유지하는 제품인지 확인합니다.
- 화학적 처리나 과도한 가공이 없을수록 천연에 가까운 제품이므로 신뢰도가 높습니다.
4. 제품의 안전성 및 인증
- 식약처 승인, GMP(우수제조기준) 인증 등 신뢰할 수 있는 기관의 인증 여부를 확인합니다.
- 부원료에 합성 첨가물이 많이 포함되어 있지 않은지 살펴야 합니다.
5. 섭취 목적과 개인 상태
- 위장에 민감하다면 중성 비타민 C(칼슘 비타민 C 등)를 고려하고, 알레르기나 기타 개인 건강 상태도 반드시 고려해야 합니다.
이 모든 점을 종합하면, 천연 비타민 C 선택 시에는 원료의 천연성, 함량, 부가 성분, 가공 방법, 안전성 인증을 꼼꼼히 확인하는 것이 가장 중요합니다. 특히, 너무 낮은 함량이나 과도한 합성첨가물이 들어간 제품은 피하는 것이 좋습니다.